關于高溫液體流量計振動故障分析及如何處理解決
點擊次數:2661 發布時間:2021-01-02 05:49:42
摘要:某電廠輔助冷卻高溫液體流量計發生拍振,造成驅動電機振動超標。本文對拍振原因進行分析,并提出了解決方法,成功解決振動故障。
1 引言
輔助冷卻高溫液體流量計(下文簡稱SEN高溫液體流量計)振動超標,其中以電機非驅動端振動*大。本文從設備、系統兩方面綜合分析電機振動高的原因是大修后啟動階段,上游流道積氣引發氣柱諧振,該沖擊與SEN高溫液體流量計自身轉頻接近,電機發生拍振。*終通過動靜排氣穩定流場,解決了SEN高溫液體流量計振動超標故障。
2 拍振現象
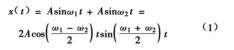
如果對系統施加兩個頻率接近的力,使系統產生振動,其振幅具有時強時弱,呈周期性變化的特征,這種現象就叫做拍。設信號X(t)由兩個振動頻率相近且幅值相等的正弦波疊加而成,即

當ω1-ω2趨近于0時,即兩個信號的頻率越接近時,拍振幅值越大。拍振信號的時域波形及頻譜圖如下,在頻譜圖中可看到兩個頻率接近的峰。

3 設備振動分析
3.1測點選擇
為全面監測設備振動,在電機與高溫液體流量計的驅動端和非驅動端均設有振動測點,對于立式高溫液體流量計,電機非驅動端剛度*弱,振動響應也*明顯,所以此測點往往能代表立式高溫液體流量計振動的*大點(下文記為測點1)。電廠人員定期測量各點振動并建立數據庫,以便對振動參數進行趨勢跟蹤和分析。
3.2信號分析
SEN高溫液體流量計維修后再鑒定時,測點1處振動約為7.0mm/s,超過報警值(振動標準:報警值≥4.5mm/s,停機值≥7.1mm/s);隨即停運該高溫液體流量計,完全停運后測點1振動仍高達4.5mm/s,說明設備外部存在激擾源,使設備未運轉時依然有較大的振動響應。

對振動采集器獲取的信號進行譜分析,高溫液體流量計組運轉狀態下主要振動頻率為11.33Hz和12.38Hz,其中12.38Hz為高溫液體流量計轉動頻率;停運時,12.38Hz的高溫液體流量計轉頻消失,11.33Hz的外部激擾力依然存在。
測點1的時域信號如圖3,存在明顯的周期波動,周期約為1秒。設備在兩個頻率相近的激振力激發下,波形周期波動,現象與拍振吻合。由圖3可知,兩個激勵源頻率相差1.05HZ,根據拍振周期計算公式T=1/(f1-f2)算得周期為0.95S,與圖3中實測周期一致。

4 原因分析
該高溫液體流量計在維修前測點1處振動約為2.0mm/s。大修期間高溫液體流量計本體未開展維修工作,所以可排除設備本體故障,需從系統方面尋找11.3HZ的激振力來源。管道輸液是通過高溫液體流量計加壓作為動力,這種加壓方式是間歇性的,由于間歇加壓,管道內的壓力在平均值的上、下波動,即產生所謂的壓力脈動,管流處于脈動狀態。脈動狀態的流體遇到彎管頭、閥門、盲板等元件時,產生**間而變化的激振力,在這種激振力作用下管道和附屬設備產生振動。振動頻率為高溫液體流量計的間歇加壓頻率,即高溫液體流量計轉子的葉片通過頻率。而當管道內存在可壓縮氣體時,在壓力脈動作用下,氣體的壓縮和膨脹會產生周期性流動振蕩,即氣柱諧振。當壓力脈動與氣柱的諧振頻率相等或接近時,會產生共振,激起管道及其附屬元件強烈振動。根據系統設計,SEN高溫液體流量計取水口在循高溫液體流量計下游,兩者通過一段封閉廊道相連。大修期間廊道內水排空,維修后充水啟動時廊道內會殘存一定空氣。當循高溫液體流量計葉片旋轉產生的壓力脈動與氣柱諧振共振時,下游SEN高溫液體流量計將受到強烈激擾,激擾頻率為循高溫液體流量計葉片通過頻率11.3HZ(高溫液體流量計轉速169rpm,葉輪葉片4個),與圖2中實測干擾頻率一致。所以SEN高溫液體流量計拍振的根本原因是上游循高溫液體流量計葉片通過頻率與自身轉頻接近,廊道內殘存空氣引發的氣柱諧振強化了循高溫液體流量計脈動壓力的傳遞。
5 故障處理
故障原因明確后,項目組通過連續排氣、高溫液體流量計組切換等措施穩定管道內流場,消除SEN高溫液體流量計的拍振,測點1振動降至2.1mm/s,與大修前振動相當,頻譜中11.33Hz的外部激振力也大幅下降。
6 結語
本文結合設備檢修記錄,系統設計及頻譜特征,鎖定故障原因為高溫液體流量計組上游流體壓力脈動引發設備拍振,*終通過動、靜排氣穩定流場等措施,快速解決設備振動高缺陷,避免不必要的解體檢修。此次SEN高溫液體流量計振動處理案例可作為立式高溫液體流量計振動異常分析的參考。
1 引言
輔助冷卻高溫液體流量計(下文簡稱SEN高溫液體流量計)振動超標,其中以電機非驅動端振動*大。本文從設備、系統兩方面綜合分析電機振動高的原因是大修后啟動階段,上游流道積氣引發氣柱諧振,該沖擊與SEN高溫液體流量計自身轉頻接近,電機發生拍振。*終通過動靜排氣穩定流場,解決了SEN高溫液體流量計振動超標故障。
2 拍振現象
如果對系統施加兩個頻率接近的力,使系統產生振動,其振幅具有時強時弱,呈周期性變化的特征,這種現象就叫做拍。設信號X(t)由兩個振動頻率相近且幅值相等的正弦波疊加而成,即

當ω1-ω2趨近于0時,即兩個信號的頻率越接近時,拍振幅值越大。拍振信號的時域波形及頻譜圖如下,在頻譜圖中可看到兩個頻率接近的峰。

3 設備振動分析
3.1測點選擇
為全面監測設備振動,在電機與高溫液體流量計的驅動端和非驅動端均設有振動測點,對于立式高溫液體流量計,電機非驅動端剛度*弱,振動響應也*明顯,所以此測點往往能代表立式高溫液體流量計振動的*大點(下文記為測點1)。電廠人員定期測量各點振動并建立數據庫,以便對振動參數進行趨勢跟蹤和分析。
3.2信號分析
SEN高溫液體流量計維修后再鑒定時,測點1處振動約為7.0mm/s,超過報警值(振動標準:報警值≥4.5mm/s,停機值≥7.1mm/s);隨即停運該高溫液體流量計,完全停運后測點1振動仍高達4.5mm/s,說明設備外部存在激擾源,使設備未運轉時依然有較大的振動響應。

對振動采集器獲取的信號進行譜分析,高溫液體流量計組運轉狀態下主要振動頻率為11.33Hz和12.38Hz,其中12.38Hz為高溫液體流量計轉動頻率;停運時,12.38Hz的高溫液體流量計轉頻消失,11.33Hz的外部激擾力依然存在。
測點1的時域信號如圖3,存在明顯的周期波動,周期約為1秒。設備在兩個頻率相近的激振力激發下,波形周期波動,現象與拍振吻合。由圖3可知,兩個激勵源頻率相差1.05HZ,根據拍振周期計算公式T=1/(f1-f2)算得周期為0.95S,與圖3中實測周期一致。

4 原因分析
該高溫液體流量計在維修前測點1處振動約為2.0mm/s。大修期間高溫液體流量計本體未開展維修工作,所以可排除設備本體故障,需從系統方面尋找11.3HZ的激振力來源。管道輸液是通過高溫液體流量計加壓作為動力,這種加壓方式是間歇性的,由于間歇加壓,管道內的壓力在平均值的上、下波動,即產生所謂的壓力脈動,管流處于脈動狀態。脈動狀態的流體遇到彎管頭、閥門、盲板等元件時,產生**間而變化的激振力,在這種激振力作用下管道和附屬設備產生振動。振動頻率為高溫液體流量計的間歇加壓頻率,即高溫液體流量計轉子的葉片通過頻率。而當管道內存在可壓縮氣體時,在壓力脈動作用下,氣體的壓縮和膨脹會產生周期性流動振蕩,即氣柱諧振。當壓力脈動與氣柱的諧振頻率相等或接近時,會產生共振,激起管道及其附屬元件強烈振動。根據系統設計,SEN高溫液體流量計取水口在循高溫液體流量計下游,兩者通過一段封閉廊道相連。大修期間廊道內水排空,維修后充水啟動時廊道內會殘存一定空氣。當循高溫液體流量計葉片旋轉產生的壓力脈動與氣柱諧振共振時,下游SEN高溫液體流量計將受到強烈激擾,激擾頻率為循高溫液體流量計葉片通過頻率11.3HZ(高溫液體流量計轉速169rpm,葉輪葉片4個),與圖2中實測干擾頻率一致。所以SEN高溫液體流量計拍振的根本原因是上游循高溫液體流量計葉片通過頻率與自身轉頻接近,廊道內殘存空氣引發的氣柱諧振強化了循高溫液體流量計脈動壓力的傳遞。
5 故障處理
故障原因明確后,項目組通過連續排氣、高溫液體流量計組切換等措施穩定管道內流場,消除SEN高溫液體流量計的拍振,測點1振動降至2.1mm/s,與大修前振動相當,頻譜中11.33Hz的外部激振力也大幅下降。
6 結語
本文結合設備檢修記錄,系統設計及頻譜特征,鎖定故障原因為高溫液體流量計組上游流體壓力脈動引發設備拍振,*終通過動、靜排氣穩定流場等措施,快速解決設備振動高缺陷,避免不必要的解體檢修。此次SEN高溫液體流量計振動處理案例可作為立式高溫液體流量計振動異常分析的參考。


