關于煤氣流量計的結構原理與解決不斷流問題
點擊次數:2213 發布時間:2020-11-06 07:49:12
摘要:為了適應市場的需求,在普通渦街的基礎上,研制出一種不斷流傳感頭可拆高溫型煤氣流量計。該流量計將漩渦檢測傳力桿與信號檢測傳感頭巧妙的隔開,且二者完全密閉隔離,使得信號檢測傳感頭的溫度遠遠低于介質的實際溫度。既解決了測量高溫介質的問題,又解決了普通渦街現場不斷流拆卸的問題。同時還節省了在重要場合安裝的備用旁路設施,降低了使用單位的前期成本。
引言
自20世紀60年代末開始研制煤氣流量計至今,人們已經相繼開發出了多種類型阻擋體及漩渦檢測方法的煤氣流量計,并在管道流量測量中得到了廣泛應用。隨著相關科學技術的不斷發展,煤氣流量計的整體性能也在不斷地提高,并以其測量精度高、量程范圍寬、壓力損失小以及較高的性價比等特點,越來越被廣大用戶所認可。煤氣流量計也因此而躋身于通用流量計之列。
然而,隨著普通煤氣流量計使用量的增多,人們逐漸發現,雖然它具有很多優點,但在使用過程中還是存在著諸如可測介質溫度低(受信號檢測傳感頭材料限制,一般長期使用溫度低于350℃)、更換傳感器測頭麻煩、可靠性能差等使用上的局限性(。也正是因為如此,在重要的控制場合和測量高溫介質的流量系統中,普通渦街還是一直不能夠被選用。為了解決普通渦街在使用上的局限性,技術人員憑借多年的制造和使用經驗,在普通煤氣流量計的基礎上,研制開發出了一種不斷流傳感頭可拆高溫型煤氣流量計(后文簡稱為不斷流渦街)。該煤氣流量計將漩渦檢測傳力桿與信號檢測傳感頭通過隔離裝置巧妙地隔離。由于不斷流渦街的傳力桿與信號檢測傳感頭是完全密閉隔離的,使得信號檢測傳感頭的使用溫度要遠遠低于被測介質的實際溫度。這樣既解決了普通渦街不能在線不斷流更換以及維護信號檢測傳感頭的問題,又解決了普通渦街測量介質溫度低的問題。
1不斷流渦街的結構原理
不斷流渦街同樣是以卡門渦街原理為依據測量流體流速的,但不斷流渦街表體已經在結構上有了質的改變。如圖1所示,它將普通渦街單一的信號檢測傳感頭改變為傳力桿與信號檢測傳感頭兩部分,并通過隔離裝置完全隔離。當表體中流過流體并產生漩渦時,由傳力桿檢測漩渦的變化,并以力的形式傳遞給信號檢測傳感頭,完成了力信號到電信號的轉換過程。雖然傳力桿與流體直接接觸,但其本身只是進行力傳輸的杠桿,因此,只對外形尺寸及鋼材選擇上具有要求。而信號檢測傳感頭是通過隔離裝置與流體完全密閉隔離的,再加上隔離裝置本身具有的散熱功能,使得信號檢測傳感頭的使用溫度要遠遠低于流體的實際溫度,從而有效地提高了普通信號檢測傳感頭的可測介質溫度。同時,不斷流渦街在進行維修更換信號檢測傳感頭時,并不影響工藝管道內流體的流動,真正實現了信號檢測傳感頭的不斷流拆裝維護。

1.1表體結構
各部件功能說明如下:
①阻流體。和普通煤氣流量計一樣,阻流體作為不斷流渦街的漩渦發生體,其外形尺寸與對應口徑的普通型渦街阻流體在材質及外形尺寸上完全相同。
②傳力桿。用于檢測流體流過阻流體后產生漩渦振動頻率的傳感頭。
③信號檢測傳感頭。用于將振動頻率轉換成與之對應的電荷信號的傳感頭。
④隔離裝置。實現將表體內流體與外界及信號檢測傳感頭隔離的裝置,同時還具有為信號檢測傳感頭散熱的功能。
1.2測t原理
由于不斷流渦街的阻流體與相同口徑普通煤氣流量計的阻流體在結構和外形尺寸上是完全相同的(不同的只是漩渦頻率的檢測方法)。由卡門渦街原理可知,不斷流渦街漩渦頻率的計算方法與普通渦街完全相同。在不斷流渦街表體中設置阻流體(漩渦發生體),從阻流體兩側交替地產生有規則的漩渦,這種漩渦稱為卡門渦街,漩渦在阻擋體下游非對稱地排列。
根據卡門渦街原理,有如下關系式:

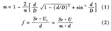
式中:m為漩渦發生體兩側弓形面積與管道橫截面面積之比;D為表體通徑,~;d為漩渦發生體迎面寬度,~;f為漩渦的發生頻率,Hz;U:為漩渦發生體兩側平均流速,耐s;sr為斯特勞哈爾數;U為被測介質來流的平均速度,耐s。管道內體積流量q。為:

式中:e為瞬時工況體積流量,m,h/。
在實際標定過程中,相同口徑的不斷流渦街與普通煤氣流量計在可測流量范圍、基本誤差、重復性等參數上基本一致,達到了設計和使用精度的要求。
2不斷流渦街實際檢定情況
分別用精度0.5級音速噴嘴氣體標定裝置、精度0.2級稱重法水標定裝置對DN50口徑的不斷流渦街進行實際標定,其標定數據如表1、表2所示。

由表1和表2的實際標定數據可知,在量程比大于1:10的情況下,用不斷流煤氣流量計測量氣體或液體介質時,基本誤差及重復性均能達到中華人民共和國機械行業標準JB/T9249一1999《渦街流量傳感器》[’1中所規定的精度要求。
3 實際使用過程中與普通煤氣流量計的、對比
3.1 可測流體溫度
普通煤氣流量計受表體結構及信號傳感頭材料(壓電晶體)的限制,一般允許*高工作溫度為350℃,而長期使用溫度應低于30℃,否則會大大縮短信號檢測傳感頭的使用壽命岡。而不斷流渦街由于獨特的隔離型結構設計,使信號檢測傳感頭與高溫流體介質完全隔離,再加上隔離裝置本身具有散熱功能,使得信號檢測傳感頭的實際使用溫度要遠遠低于流體溫度。
通過在大港石油420℃高溫過熱蒸汽主管道上近兩年的實際使用情況表明,將普通耐溫30℃的壓電式傳感頭用作不斷流渦街中的信號檢測傳感頭,不斷流渦街可在流體溫度高達420℃工藝管道上長期、穩定、準確、可靠的運行。由此可見,這種傳感頭不斷流拆裝的隔離結構設計將普通傳感頭的長期使用溫度提高了約120℃。
3.2 不斷流拆裝
圖2a為普通煤氣流量計的現場安裝結構示意圖。在重要的流量系統中,為了在流量儀表發生故障時不影響工藝過程,安裝普通煤氣流量計時,一般需要同時安裝旁路系統。對流量計進行維護時,為了保證管道內介質的正常流動而不影響工藝過程,將3#閥門打開后,關閉1禪閥門、2#閥門,再將渦街表體拆下,方可進行傳感頭的拆裝更換。這樣既增加了工藝管線的旁路設施及泄漏點,又增加了維護人員的工作量。
圖b為不斷流渦街的現場安裝結構示意圖。由于不斷流渦街具有不斷流拆裝信號檢測傳感頭的功能,所以并不需要在工藝管線中安裝繁瑣的旁路系統。當不斷流渦街出現故障或信號檢測傳感頭損壞時,不需要關閉閥門和拆卸表體,便可以直接對信號檢測傳感頭進行檢修及拆裝維護。這樣不僅實現了渦街信號檢測傳感頭的現場不斷流拆裝,而且還完全省卻了繁瑣的旁路設施。既簡化了工藝管線,又減少了維護人員的工作量

現場兩年多的實際運行情況證明,安裝在藍星石化氣分裝置、余碳四裝置控制系統工藝管道上的不斷流渦街運行穩定可靠,維護簡單方便,完全能夠滿足現場控制精度及工藝流程的要求。同時,由于省略了以往安裝流量儀表時所需的旁路設施,還為企業節省了大量的資金。
4 結束語
不斷流渦街不僅延續了普通渦街的全部優點,同時由于具有的不斷流拆裝信號傳感頭功能,所以去掉了以往流量儀表安裝時繁瑣的旁路設施,提高了可測介質溫度(可長期工作在420℃高溫介質的工藝管線上)。也正是融合了這些優點,不斷流渦街才徹底改變了普通渦街不能被應用于重要控制系統的尷尬局面,極大地拓寬了煤氣流量計的適用范圍。從不斷流渦街的實際標定情況及現場實際使用情況來看,它運行穩定可靠,完全能夠滿足工藝流程要求,因此可廣泛地應用于石油、化工、冶金、蒸汽熱網計量以及其它重要控制系統的流量工藝管線中。
煤氣流量計如何調整
煤氣流量計選型
高爐煤氣流量計
焦爐煤氣流量計廠家
水煤氣流量計,發生爐煤氣流量計
高爐煤氣流量計價格
焦爐煤氣流量計價格
高爐煤氣流量計廠家
焦爐煤氣流量計,渦輪煤氣流量計
轉爐煤氣流量計,煤氣管道計量表
發生爐煤氣流量計
焦化廠煤氣流量計,水煤氣流量計
轉爐煤氣流量計,混合煤氣流量計
防爆焦爐煤氣流量計,靶式煤氣流量計
焦爐煤氣流量計,防爆焦爐煤氣流量計
大口徑測量高爐煤氣流量計,高爐煤氣流量計價格
高爐煤氣流量計選型
防爆焦爐煤氣流量計,管道煤氣流量計
水煤氣流量計廠家
高爐煤氣流量計價格,高溫煤氣流量計
焦爐煤氣流量計價格,焦化廠煤氣流量計
水煤氣流量計,高爐煤氣流量計價格
發生爐煤氣流量計廠家
轉爐煤氣流量計
高爐煤氣流量計,渦輪煤氣流量計
高爐煤氣流量計,測量煤氣流量的流量計
焦爐煤氣流量計,混合煤氣流量計
防爆焦爐煤氣流量計
焦爐煤氣流量計,管道煤氣流量計
焦爐煤氣流量計,靶式煤氣流量計
引言
自20世紀60年代末開始研制煤氣流量計至今,人們已經相繼開發出了多種類型阻擋體及漩渦檢測方法的煤氣流量計,并在管道流量測量中得到了廣泛應用。隨著相關科學技術的不斷發展,煤氣流量計的整體性能也在不斷地提高,并以其測量精度高、量程范圍寬、壓力損失小以及較高的性價比等特點,越來越被廣大用戶所認可。煤氣流量計也因此而躋身于通用流量計之列。
然而,隨著普通煤氣流量計使用量的增多,人們逐漸發現,雖然它具有很多優點,但在使用過程中還是存在著諸如可測介質溫度低(受信號檢測傳感頭材料限制,一般長期使用溫度低于350℃)、更換傳感器測頭麻煩、可靠性能差等使用上的局限性(。也正是因為如此,在重要的控制場合和測量高溫介質的流量系統中,普通渦街還是一直不能夠被選用。為了解決普通渦街在使用上的局限性,技術人員憑借多年的制造和使用經驗,在普通煤氣流量計的基礎上,研制開發出了一種不斷流傳感頭可拆高溫型煤氣流量計(后文簡稱為不斷流渦街)。該煤氣流量計將漩渦檢測傳力桿與信號檢測傳感頭通過隔離裝置巧妙地隔離。由于不斷流渦街的傳力桿與信號檢測傳感頭是完全密閉隔離的,使得信號檢測傳感頭的使用溫度要遠遠低于被測介質的實際溫度。這樣既解決了普通渦街不能在線不斷流更換以及維護信號檢測傳感頭的問題,又解決了普通渦街測量介質溫度低的問題。
1不斷流渦街的結構原理
不斷流渦街同樣是以卡門渦街原理為依據測量流體流速的,但不斷流渦街表體已經在結構上有了質的改變。如圖1所示,它將普通渦街單一的信號檢測傳感頭改變為傳力桿與信號檢測傳感頭兩部分,并通過隔離裝置完全隔離。當表體中流過流體并產生漩渦時,由傳力桿檢測漩渦的變化,并以力的形式傳遞給信號檢測傳感頭,完成了力信號到電信號的轉換過程。雖然傳力桿與流體直接接觸,但其本身只是進行力傳輸的杠桿,因此,只對外形尺寸及鋼材選擇上具有要求。而信號檢測傳感頭是通過隔離裝置與流體完全密閉隔離的,再加上隔離裝置本身具有的散熱功能,使得信號檢測傳感頭的使用溫度要遠遠低于流體的實際溫度,從而有效地提高了普通信號檢測傳感頭的可測介質溫度。同時,不斷流渦街在進行維修更換信號檢測傳感頭時,并不影響工藝管道內流體的流動,真正實現了信號檢測傳感頭的不斷流拆裝維護。

1.1表體結構
各部件功能說明如下:
①阻流體。和普通煤氣流量計一樣,阻流體作為不斷流渦街的漩渦發生體,其外形尺寸與對應口徑的普通型渦街阻流體在材質及外形尺寸上完全相同。
②傳力桿。用于檢測流體流過阻流體后產生漩渦振動頻率的傳感頭。
③信號檢測傳感頭。用于將振動頻率轉換成與之對應的電荷信號的傳感頭。
④隔離裝置。實現將表體內流體與外界及信號檢測傳感頭隔離的裝置,同時還具有為信號檢測傳感頭散熱的功能。
1.2測t原理
由于不斷流渦街的阻流體與相同口徑普通煤氣流量計的阻流體在結構和外形尺寸上是完全相同的(不同的只是漩渦頻率的檢測方法)。由卡門渦街原理可知,不斷流渦街漩渦頻率的計算方法與普通渦街完全相同。在不斷流渦街表體中設置阻流體(漩渦發生體),從阻流體兩側交替地產生有規則的漩渦,這種漩渦稱為卡門渦街,漩渦在阻擋體下游非對稱地排列。
根據卡門渦街原理,有如下關系式:

式中:m為漩渦發生體兩側弓形面積與管道橫截面面積之比;D為表體通徑,~;d為漩渦發生體迎面寬度,~;f為漩渦的發生頻率,Hz;U:為漩渦發生體兩側平均流速,耐s;sr為斯特勞哈爾數;U為被測介質來流的平均速度,耐s。管道內體積流量q。為:

式中:e為瞬時工況體積流量,m,h/。
在實際標定過程中,相同口徑的不斷流渦街與普通煤氣流量計在可測流量范圍、基本誤差、重復性等參數上基本一致,達到了設計和使用精度的要求。
2不斷流渦街實際檢定情況
分別用精度0.5級音速噴嘴氣體標定裝置、精度0.2級稱重法水標定裝置對DN50口徑的不斷流渦街進行實際標定,其標定數據如表1、表2所示。

由表1和表2的實際標定數據可知,在量程比大于1:10的情況下,用不斷流煤氣流量計測量氣體或液體介質時,基本誤差及重復性均能達到中華人民共和國機械行業標準JB/T9249一1999《渦街流量傳感器》[’1中所規定的精度要求。
3 實際使用過程中與普通煤氣流量計的、對比
3.1 可測流體溫度
普通煤氣流量計受表體結構及信號傳感頭材料(壓電晶體)的限制,一般允許*高工作溫度為350℃,而長期使用溫度應低于30℃,否則會大大縮短信號檢測傳感頭的使用壽命岡。而不斷流渦街由于獨特的隔離型結構設計,使信號檢測傳感頭與高溫流體介質完全隔離,再加上隔離裝置本身具有散熱功能,使得信號檢測傳感頭的實際使用溫度要遠遠低于流體溫度。
通過在大港石油420℃高溫過熱蒸汽主管道上近兩年的實際使用情況表明,將普通耐溫30℃的壓電式傳感頭用作不斷流渦街中的信號檢測傳感頭,不斷流渦街可在流體溫度高達420℃工藝管道上長期、穩定、準確、可靠的運行。由此可見,這種傳感頭不斷流拆裝的隔離結構設計將普通傳感頭的長期使用溫度提高了約120℃。
3.2 不斷流拆裝
圖2a為普通煤氣流量計的現場安裝結構示意圖。在重要的流量系統中,為了在流量儀表發生故障時不影響工藝過程,安裝普通煤氣流量計時,一般需要同時安裝旁路系統。對流量計進行維護時,為了保證管道內介質的正常流動而不影響工藝過程,將3#閥門打開后,關閉1禪閥門、2#閥門,再將渦街表體拆下,方可進行傳感頭的拆裝更換。這樣既增加了工藝管線的旁路設施及泄漏點,又增加了維護人員的工作量。
圖b為不斷流渦街的現場安裝結構示意圖。由于不斷流渦街具有不斷流拆裝信號檢測傳感頭的功能,所以并不需要在工藝管線中安裝繁瑣的旁路系統。當不斷流渦街出現故障或信號檢測傳感頭損壞時,不需要關閉閥門和拆卸表體,便可以直接對信號檢測傳感頭進行檢修及拆裝維護。這樣不僅實現了渦街信號檢測傳感頭的現場不斷流拆裝,而且還完全省卻了繁瑣的旁路設施。既簡化了工藝管線,又減少了維護人員的工作量

現場兩年多的實際運行情況證明,安裝在藍星石化氣分裝置、余碳四裝置控制系統工藝管道上的不斷流渦街運行穩定可靠,維護簡單方便,完全能夠滿足現場控制精度及工藝流程的要求。同時,由于省略了以往安裝流量儀表時所需的旁路設施,還為企業節省了大量的資金。
4 結束語
不斷流渦街不僅延續了普通渦街的全部優點,同時由于具有的不斷流拆裝信號傳感頭功能,所以去掉了以往流量儀表安裝時繁瑣的旁路設施,提高了可測介質溫度(可長期工作在420℃高溫介質的工藝管線上)。也正是融合了這些優點,不斷流渦街才徹底改變了普通渦街不能被應用于重要控制系統的尷尬局面,極大地拓寬了煤氣流量計的適用范圍。從不斷流渦街的實際標定情況及現場實際使用情況來看,它運行穩定可靠,完全能夠滿足工藝流程要求,因此可廣泛地應用于石油、化工、冶金、蒸汽熱網計量以及其它重要控制系統的流量工藝管線中。


